您现在的位置是:首页 > 行业发展
强弱耦合型电解液助力宽温(−70~80 °C)超级电容器
智慧创新站
2025-01-16【行业发展】281人已围观
简介西南交通大学张海涛研究员EnergyStorageMaterials:强弱耦合型电解液助力宽温(−70~80°C)超级电容器【文章信息】强弱耦合型电解液助力宽温(−70~80°C)超级电容器通讯作者:张海涛*单位:西南交通大学【研究背景】超级电容器(SC)具有长寿命和大功率的优点,被认为是电网储能系...
西南交通大学张海涛研究员EnergyStorageMaterials:强弱耦合型电解液助力宽温(−70~80°C)超级电容器


强弱耦合型电解液助力宽温(−70~80°C)超级电容器
通讯作者:张海涛*
单位:西南交通大学
【研究背景】超级电容器(SC)具有长寿命和大功率的优点,被认为是电网储能系统的一种极具前景的候选者。然而,季节性变化或过度使用引起的工作温度波动对SC性能会造成不利影响,特别是在极端温度(−40°C或60°C)下。极端工作温度下的性能衰减主要与电解液离子迁移、去溶剂化能力和电解液热稳定性有关。一方面,传统碳酸酯类电解液由于高粘度、高凝固点以及界面脱溶剂化行为较慢的限制,导致SC在低温条件下的性能表现不佳。
另一方面,低闪点(12.8°C)乙腈溶剂在高温条件下极易分解,导致器件内部气体膨胀,从而造成严重的安全隐患。目前,拓宽SC工作温度范围最常见的方法是优化电解液的配方:(1)添加低熔点溶剂以降低电解液的共熔点;(2)引入不易燃溶剂以提高电解液的热稳定性。然而,低温/高温电解液配方的设计要求各不相同,甚至相互冲突。因此,开发宽温电解液仍然面临巨大挑战。
【文章简介】近日,西南交通大学张海涛研究员在国际知名期刊EnergyStorageMaterials上发表题为“EngineeringElectrolyte’sStrong-WeakCouplingEffecttowardWide-TemperatureSupercapacitor”的研究论文。该论文通过在1-乙基-3-甲基咪唑四氟硼酸盐(EMIMBF4)中引入氟代碳酸乙烯酯(FEC)和乙酸乙酯(EA)的混合溶剂(EMIMBF4−1F1E),开发了一种具有强弱耦合效应的电解液,以实现全天候的SC。强耦合效应来自高介电常数的氟代碳酸乙烯酯(FEC),有效地平衡了离子电导率;弱耦合效应来自于低介电常数的乙酸乙酯(EA),降低了EMIM+−溶剂的结合能。
得益于这种强弱耦合的溶剂化结构,电解液表现出优异的离子电导率和较低的去溶剂化能,从而在−70°C-80°C的宽温度范围内实现了快速的离子传输动力学。该电解液使得SC在80°C下实现35.7Whkg−1和21.1kWkg−1的高能量和功率密度,从80°C下降至−70°C时可保留53.9%的容量,以及在−20°C下循环20,000次后可保留85.6%的容量。

图1.传统电解液和强弱耦合型电解液的第一溶剂化壳层结构和界面处的去溶剂化过程示意图。
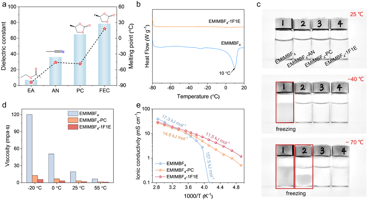
【本文要点】要点一:强弱耦合型电解液优异的物理特性
得益于EA的低熔点和低粘度,EMIMBF4−1F1E电解液的凝固点降低至−80°C以下,并且在−20°C-55°C范围内表现出最小的粘度。此外,在−70°C-80°C的温度范围内,EMIMBF4−1F1E电解质的离子电导率变化最小,在−70°C时甚至可以达到1.17mScm−1。

图2.EMIMBF4、EMIMBF4−AN、EMIMBF4−PC和EMIMBF4−1F1E的物理特性。(a)EA、AN、PC和FEC溶剂的介电常数和熔点;(b)DSC曲线;(c)25°C、−40°C和−70°C时的数码照片;(d)−20°C、0°C、25°C和55°C时的粘度;(e)−70°C-80°C范围内的阿伦尼乌斯图。
要点二:强弱耦合溶剂化结构
通过Raman测试表明,在1F1E中添加EMIMBF4后,FEC和EA的特征峰发生蓝移,表明FEC和EA共同参与离子的溶剂化过程及结构。FTIR结果进一步证明,溶剂分子倾向于与咪唑阳离子v(C2-H)和v(C4,5-H)位点形成氢键。通过分子动力学模拟(MD),发现FEC与EMIM+(C2,4,5-H)的结合能力高于EA,形成了一种强弱耦合的溶剂化结构。为了预测电解液离子的去溶剂化行为,使用密度泛函理论(DFT)模型比较失去不同溶剂分子后溶剂化结构的结合能。当FEC分子脱溶时,结合能(Eb)从−4.44eV轻微下降至−4.73eV,而EA分子脱溶时,Eb急剧下降至−5.12eV。这种差异表明EA对离子的耦合效应较弱,这有利于促进脱溶过程的动力学来改善倍率性能。

图3.EMIMBF4−1F1E强弱耦合溶剂化结构。EMIMBF4、EA、FEC和EMIMBF4−1F1E的部分拉曼光谱(a,b)和傅立叶变换红外光谱(c);(d)分子动力学模拟结果快照(原子颜色:B,粉红色;C,灰色;F,浅绿色;H,白色;O,红色);(e)离子和溶剂分子之间的径向分布函数(实线)和配位数(虚线);(f)EMIM、EA和FEC的静电势;(g)通过密度泛函理论(DFT)计算获得的EMIM+−溶剂结合能。
要点三:宽温域内的电化学性能
在−70°C,基于传统电解液溶剂的EMIMBF4−AN由于电解液凝固而无法存储能量,EMIMBF4−PC由于粘度骤增,导致比容量快速衰减。当温度升高至55°C时,EMIMBF4−AN由于电解液分解而导致器件失效。得益于强弱耦合效应,使用EMIMBF4−1F1E的超级电容器可实现−70°C-80°C的宽工作温度范围。

图4.基于EMIMBF4、EMIMBF4−AN、EMIMBF4−PC和EMIMBF4−1F1E的SC的电化学性能。(a)−70°C、(b)25°C、(c)55°C和(d)80°C时的CV曲线。(e)−70°C,(f)25°C,(g)55°C和(h)80°C时的GCD曲线。(i)−70°C,(j)25°C,(k)55°C和(l)80°C时的EIS图。
要点四:强弱耦合型电解液助力超级电容器在宽温度范围内展示出优异电化学性能
EMIMBF4−1F1E展现出优异的倍率性能(在20Ag-1电流密度时,具有87%的容量保持率)、高能量和功率密度(35.7Whkg−1和21.1kWkg−1)、低自放电率(20h后,开路电位从2.5V降至1.38V,对应的电压损失为45%)和优异的循环稳定性(循环充放电50,000次后,容量保持率为82.4%)。

图5.基于EMIMBF4−1F1E的SC在−70°C至80°C的电化学性能。(a)强弱耦合型电解液离子扩散过程示意图;(b)比电容与电流密度的关系;(c)EIS图;(d)Ragone图比较;(e)自放电性能;(g)EMIMBF4−1F1E、EMIMBF4−PC和EMIMBF4−AN在离子电导率、凝固点、自放电、倍率性能和循环稳定性方面的综合比较。
要点五:软包超级电容器的电化学性能
使用强弱耦合型电解液与YP-50F电极材料所组装的软包电池也表现出优异的倍率性能。在0.5Ag−1的电流密度下,其容量为25Fg−1,即使在20Ag−1时仍然有20Fg−1,容量保持率为83.9%。此外,强弱耦合型电解液所组装的软包器件在−70-80°C的宽温度范围内可以轻松地为数字温度计供电,并且在极端温度(−70°C或80°C)下暴露7天后仍能为数字温度计供电。这些结果表明强弱耦合型电解液在实际应用中具有较强的宽温度适应性。

图6.强弱耦合型电解液软包超级电容器。(a)软包超级电容器的组装示意图;(b)CV曲线;(c)GCD曲线;(d)单片袋状器件可在-70°C、0°C、25°C和80°C时为数字温度计供电。
【文章链接】EngineeringElectrolyte’sStrong-WeakCouplingEffecttowardWide-TemperatureSupercapacitor.
【通讯作者简介】张海涛简介:西南交通大学研究员、博士生导师。中国科学院百篇优秀博士学位论文获得者,入选四川省学术和技术带头人后备人选、西南交通大学雏鹰学者和科技新星。长期从事电化学储能研究,主要研究方向包括超级电容器、锂离子电池、固态离子学、电化学分析及其原位技术。在AdvancedMaterials、ACSEnergyLetters、AdvancedFunctionalMaterials、ACSNano等国际著名期刊发表SCI论文120余篇,H因子46;出版专著两本;主持国家自然科学基金、国家重点研发计划子课题等项目10余项;获得授权国家发明专利10余项,完成成果转让4项。


很赞哦!(67)