您现在的位置是:首页 > 智能机电
运放带宽增益积GBW的计算指南
智慧创新站
2024-12-16【智能机电】184人已围观
简介摘要本文由江苏润石资深FAE-OvidLing撰写引言带宽增益积GBW的定义其中Am是低频处的开环增益,fH是运放的主极点。一般我们认为带宽增益积GBW=AmxfH,Figure1中也可以从单位增益频率点来计算GBW=1x1MHz=1MHz,所以GBW比较固定。在选取了一个运放之后,GBW随之固定,...
摘要
本文由江苏润石资深FAE-OvidLing撰写
引言
带宽增益积GBW的定义

其中Am是低频处的开环增益,fH是运放的主极点。
一般我们认为带宽增益积GBW=AmxfH,Figure1中

也可以从单位增益频率点来计算GBW=1x1MHz=1MHz,所以GBW比较固定。在选取了一个运放之后,GBW随之固定,信号的频率越高,运放的开环增益就跟着下降。
Figure1运放开环增益曲线示意图
运放电路增益带宽积GBW的计算方法
Figure2同相放大器电路图
Figure3反相放大器电路图
对于同相放大器
对于反相放大器
2)替换后的闭环增益计算
为了更好描述运放的开环增益,我们把公式(2-1)代入到公式(3-1)可得:
根据GBW=AmxfH,则
根据复数求模的运算,可得:
所以根据公式(3-4),我们可以计算已知运放的GBW,Am,求得某个频率f下电路的lAcll。
既然可以已知运放的GBW,Am,求得某个频率f下电路的lAcll,那么必然也可以计算已知电路某个频率f至少要有增益lAcll,所需要运放的GBW。还有已知运放的GBW,Am,求得电路某个增益lAcll下对应的频率f。
引入系数k,表述某个频率f下的闭环增益降低为理想增益的程度,可得:
因为理想的电路闭环增益为
所以
化简后,可得:
仿真验证
1)已知运放GBW,计算频率f下的闭环增益Acl
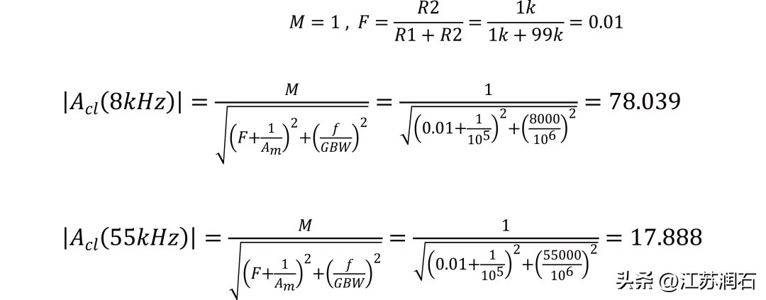
根据Figure2,R1=99k,R2=1k,运放GBW=1MHz,Am=100k,计算f=8kHz和f=55kHz下,电路的实际闭环增益Acl。
根据公式(3-4),理论计算为
同相放大器电路的仿真结果见Figure4,可以看到,理论计算跟仿真结果非常接近。
Figure4同相放大电路的仿真结果
根据Figure3,R1=100k,R2=1k,运放GBW=1MHz,Am=100k,计算f=8kHz和f=55kHz下,电路的实际闭环增益Acl。
根据公式(3-4),理论计算为
反相放大器电路的仿真结果见Figure5,可以看到,理论计算跟仿真结果非常接近。
Figure5反相放大电路的仿真结果
2)已知运放GBW,计算某个闭环增益Acl下对应的频率f
根据Figure2,R1=99k,R2=1K,运放GBW=1MHz,Am=100k,计算电路的实际闭环增益Acl=90和Acl=20时所对应的频率f。
根据公式(3-6),理论计算为
同相放大器电路的仿真结果见Figure6,可以看到,理论计算跟仿真结果非常接近。
Figure6同相放大电路的仿真结果
3)在某个频率f下至少要有闭环增益Acl,计算电路所需要运放的GBW
根据Figure2,R1=99k,R2=1k,要求电路在频率f=50kHz时,电路的实际闭环增益Acl≥80,求电路中运放的GBW,假设选用运放的Am=100k。
根据公式(3-7),理论计算为
在仿真软件中设定运放的GBW=6.68MHz,
同相放大器电路的仿真结果见Figure7,可以看到,理论计算跟仿真结果非常接近。
Figure7同相放大电路的仿真结果
结论
很赞哦!(195)